Obsah
Karbonylové sloučeniny
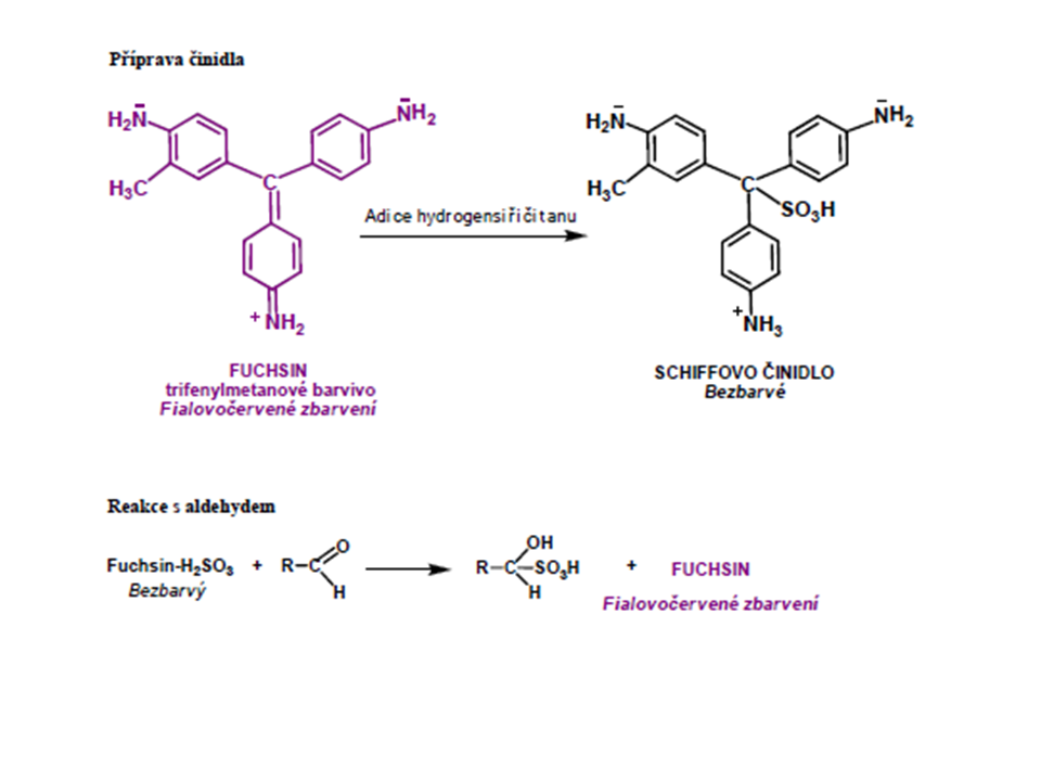
Mezi karbonylové sloučeniny patří kyslíkaté deriváty obsahující dvojvaznou karbonylovou skupinu, která obsahuje uhlíkový atom vázaný dvojnou vazbou ke kyslíkovému atomu.
V přírodě bývají součástí charakteristických chuťových látek a řady vonných silic. Samotná karbonylová skupina je u organických sloučenin obsažena v aldehydech, ketonech a chinonech, ale je součástí dalších složitějších skupin, především karboxylové skupiny a jejích funkčních derivátů.

Tab. 1: Přehled karbonylových sloučenin

Dílčí lekce5
1
Charakteristika a rozdělení karbonylových sloučenin
2
Názvosloví karbonylových sloučenin
3
Vlastnosti a reakce karbonylových sloučenin
4
Příprava a výroba karbonylových sloučenin
5
Důležití zástupci
Zdroje
-
WIKIPEDIA.ORG. [online]. [cit. 24.4.2014]. Dostupné z: http://cs.wikipedia.org/wiki/Karbonylov%C3%A9_slou%C4%8Deniny
Obrázky
- Obr. 1: CANOV.JERGYM.CZ. Hugo Schiff [online]. [cit. 13.12. 2014]. Dostupné z: http://canov.jergym.cz/cinidla/s.htm
- Obr. 2: COLLECTOR, Globe. WIKIPEDIA.ORG. Basic Fuchsine Crystals [online]. [cit. 14.11. 2014]. Dostupné z: http://cs.wikipedia.org/wiki/Fuchsin#mediaviewer/File:Basic_Fuchsine_Crystals.JPG
- Obr. 3: YOUTUBE.COM. Důkazy aldehydů a ketonů Schiffovým činidlem [online]. [cit. 7.11. 2014]. Dostupné z: http://www.youtube.com/watch?v=wJbNeFemYtE


